Важные новости

Жильцы дома в Ялте заявляют о рейдерском захвате

21.11.2018  /  Категория: Общество

Об этом они сообщили в письме в редакцию онлайн-газеты «Меридиан Севастополь», Публикуем его полностью, а также присланные документы.

скандальный дом по ул Щорса 8 е в городе Ялта

«Как известно скандальный дом по ул Щорса 8 е в городе Ялта хотят снести. Убытки инвесторов компенсировать которые вкладывали свои средства в дом, никто не собирается - ни администрация, ни ООО МТ Лимитед. Это некая заинтересованная Московская компания, которая предложила нам снести дом или забрать его за 1 рубль (некто Максим Вяземский, представившийся сотрудником компании ). О чем я расскажу позже.

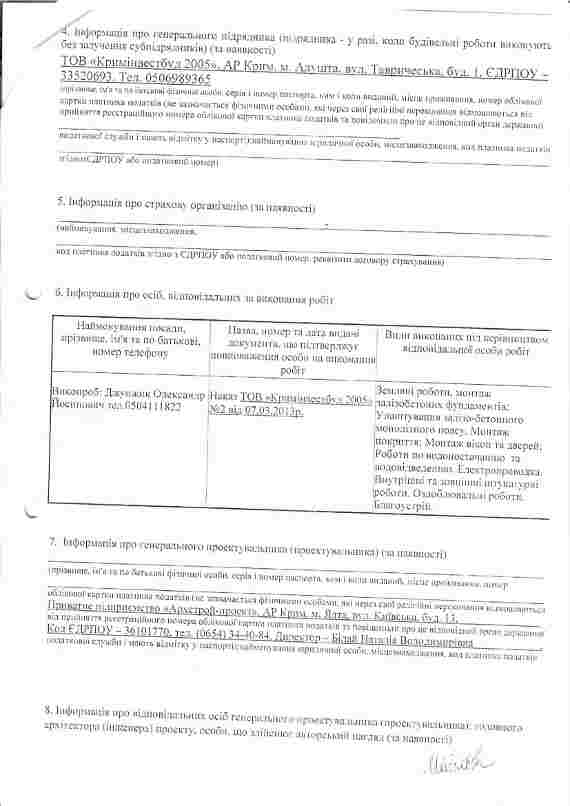
В 2013 году застройщиком были получены градостроительные условия и разработан рабочий проект, который прошел госэкспертизу, получено декларация на начало строительных работ и на основании этих документов был построен этот дом. Позже была получена декларация на окончания строительных работ и дом был сдан в эксплуатацию. А в 2014 году Ялтинским судом было установлено, что дом не является самовольной постройкой не нарушает права третьих лиц, а также не несет угрозы жизни и здоровью людей (решение вступило законную силу ).

В 2017 году компания ООО МТ Лимитед с уставным капиталом 100 000 рублей в составе одного сотрудника каким то чудным образом приобретает в собственность исторический памятник культурного наследия национального значения Усадьбу М.Н. Водарской, а также отводит себе в собственность 1,68 ГА особо ценной Ялтинской земли в самом центре города, находящийся в охранной зоне. По инсайдерской информации во всем этом незаконном приобретении способствовал им одиозный бывший вице-премьер Виталий Нахлупин, находящийся на данный момент под следствием.

После чего начался настоящий рейдерский захват: новым хозяевам приглянулся наш участок, а может вид из окна не очень понравился. От них начали поступать предложения, купить дом за 1 руб, а в случае отказа они (ООО МТ Лимитед ) его снесут. Но застройщик и инвесторы от такого «заманчивого» предложения отказались. И попытались выстроить с ними диалог, чтоб хотя бы частично инвесторам компенсировать вложенные средства, на что получили ответ, что компания очень серьезная и разговаривать и торговаться с нами с простыми смертными никто не собирается, судьба дома уже давно решена.

Вяземский нам сообщил, что был у Нахлупина и заручился его поддержкой, а также что компания ООО МТ Лимитед с предыдущей администрацией при Сотниковой подали иск в суд о сносе нашего дома и уже заранее нам сообщили какими будут решение судов. Также с их стороны было сказано о том, что если мы не согласимся отдать им дом за 1 рубль, нам придется снести его за свой счет (40 млн руб ).

И то что Максим Вяземский написал нам в сообщениях - все так и произошло, точно как в дорожной карте, присланной им из Москвы. После всех этих предложений, похожих на рейдерский захват, группа инвесторов и застройщик приняли решение выделить 4 этажа в этом доме (из фонда застройщика) очередникам нашего города и обратились с заявлением к на тот момент еще мэру Сотниковой о передачи 4 этажа нуждающимся жителям города Ялты. На что получали неоднократные отказы. Видимо, на тот момент администрация посчитала, что интересы одной Московской компании намного важнее интересов простых смертных людей, стоящих десятилетиями в очередях.

Так может быть ООО МТ Лимитед хочет выделить 4 этажа нуждающимся ялтинцам? Или они только за то чтобы выделить 40 млн руб за снос дома, при чем из бюджета города? Неужели сегодня в такое тяжелое время некуда эти деньги потратить, кроме как сносить готовые построенные и веденные в эксплуатацию дома?

Но в 2018 году ситуация в корне изменилась, наверное потому что поменялся руководитель нашего города. В очередной раз мы обратились в администрацию города о передаче 4 этажа очередникам. На что новый глава города Алексей Челпанов ответил, что дом сносить не будем. Что действительно сейчас проходит судебные разбирательства по этому вопросу. Но «никто не говорит о том, что государство на демонтаж дома должно выделить 40

миллионов рублей», - отметил Алексей Челпанов. По его мнению, сносить многоэтажку политически нецелесообразно, учитывая, что в Ялте есть люди, нуждающиеся в жилье уже сейчас, и собственник готов передать городу четыре этажа здания. «Дом находится не в центральной части Ялты, он в принципе вписан в ландшафт и застройщик осознал, что построил здание с нарушениями и поэтому готов передать половину дома, а именно четыре этажа, в дар муниципалитету для того, чтобы переселить туда нуждающихся в жилье людей. У нас есть погорельцы, есть аварийное общежитие «Звездочка». Поэтому снос политически нецелесообразен», - пояснил Андрей Челпанов.

И тут началась настоящая травля. ООО МТ Лимитед, скупив всех лживых, продажных журналистов, начали информационную войну против мэра города Алексея Челпанова. В чем они его только не обвиняли, и во взяточничестве, о плохих профессиональных качествах и тд. Даже специальную группу в фэйсбуке создали под эти цели (Ялта сегодня ). Так скажите люди, что плохого, что мэр города Ялты Челпанов решил заселить в этот дом незащищенные слои населения, как вы их называете в своих статьях, в частности жителей местного аварийного общежития ? В тоже время представитель ООО МТ Лимитед связался с застройщиком и сказал, что в случае отказа отдать им дом по ул Щорса 8Е за 1 рубль, будут снесены все ранее построенные дома этим застройщиком, а также возможно возбуждение уголовных дел при определенных обстоятельствах, что и подтверждает что эти все угрозы со стороны компании МТ Лимитед являются рейдерским захватом.

На данный момент застройщик и группа инвесторов на стадии подготовки жалобы в Европейский Суд по правам человека, и мы уверенны, что решение ЕСПЧ будет в нашу пользу. И кто от этого выиграет? Компания Лимитед получит земельный участок и 8-этажный дом за 1 руб или инвесторы, которые останутся на улице и очередники, которые останутся без жилья и не получат 20 кв, застройщик, потерявший денежные средства, администрация Ялты потратившая 40 млн на снос готового жилого дома, а в последствии придется возмещать убытки застройщику и инвесторам. И конечно же истории этого дома сыграет важную роль в репутации для застройщиков, которые не захотят иметь дело с полуостровом. И для людей, которые не захотят жить в Ялте, зная о том что рано или поздно придет какой-нибудь олигарх, который захочет снести дом, в котором они жили всю жизнь и построит там какой нибудь теннисный корт».

От имени застройщика и инвесторов, Майлова Зоя Борисовна


Похожие новости


Темы

Cтатьи

11:10 - 17.12.2023
Эксперты рассказали, сможет ли Черноморский флот РФ вернуть господство на море
09:10 - 11.12.2023
В Севастополе пытаются создать новый российский беспилотник
09:14 - 01.12.2023
Крымчане остаются без мобильной связи и спутниковой навигации: кто глушит эти сигналы на полуострове
09:54 - 27.10.2023
Военный призыв в Крыму. Можно ли крымчанам избежать службы в российской армии?
09:06 - 13.10.2023
Недвижимость под ударом: в Крыму снижается стоимость жилья и его аренды
18:30 - 10.10.2023
«Такого не было даже при Сталине». В Крыму преследуют за украинские песни
10:09 - 16.09.2023
«Страшилки» и реальность. Кого в Крыму ждет наказание за коллаборационизм?
18:42 - 21.08.2023
Усилить флот. Какие корабли Россия может перебросить в Черное море
19:31 - 11.08.2023
Сельское хозяйство Крыма при России: без свиноводства, без молокозаводов и без будущего
19:45 - 10.08.2023
Авторитет Черноморского флота под вопросом – политики о роли оперативного объединения в войне
10:08 - 10.08.2023
Чудеса экономики по-российски: виноделие в Севастополе стало убыточным
09:42 - 28.07.2023
Камуфляж кораблей Черноморского флота России: попытка спасти их от украинских дронов?
09:34 - 27.07.2023
Вертолетная угроза исходит из Крыма, свидетельствуют спутниковые снимки
19:20 - 13.07.2023
Крымская «буханка» с электрическим мотором
12:45 - 04.07.2023
Избирательное правосудие в Крыму: чиновникам – условные сроки, проукраинским гражданам – реальные
17:27 - 28.05.2023
Деколонизация топонимии. Эксперты рассказали, каким названиям не место на карте Крыма
14:51 - 19.05.2023
Окопы на пляжах и «замки из песка» курортных проектов в Крыму
10:32 - 11.05.2023
Война и спорт – понятия несовместимые: в Севастополе остановилось строительство спорткомплекса и ледового дворца
20:15 - 03.05.2023
Цель №1: чем Украина может ударить по Керченскому мосту
21:45 - 02.05.2023
Мусорная канитель: за девять лет в Севастополе так и не начали строить мусороперерабатывающий завод
11:07 - 22.04.2023
Не суждено построить: обещанные Севастополю мегапроекты практически заморожены
16:59 - 01.04.2023
«Z-безумие и ура-патриотизм» – активисты о ситуации в крымских школах
10:10 - 30.03.2023
«Как будто мы люди второго сорта». Почему крымчан не всегда пускают в Грузию
09:53 - 22.03.2023
Военные заводы – на продажу. Какие предприятия в Феодосии пускают с молотка
19:47 - 14.03.2023
Миллиарды на долгоиграющие проекты: что российские власти хотят построить в Севастополе
10:19 - 11.03.2023
Пять стадий неправды. Как Путин рассказывал о российском захвате Крыма
10:27 - 03.03.2023
«При очередном сильном землетрясении Ялта сложится как карточный домик» – эксперты о сейсмоустойчивости крымских новостроек
18:02 - 22.02.2023
Как Севастополь остался без новых пассажирских катеров из-за «геополитической ситуации»
11:48 - 22.02.2023
Письма крымчан: Чего добился Путин в Крыму?
11:04 - 17.02.2023
Крым, война и «культурно-историческая» экспансия Кремля на Украину

Другие статьи